You may like
Tips and trick for Preparing H S C Board Exam
Monday, December 24, 2018
Wednesday, November 28, 2018
H S C Board Mathematics Model Answer Paper No. 1
HSC Board Mathematics Model Answer Paper No. 1
HSC Board Model Question Paper No. 1
HSC Board Model Question Paper No. 1
![]() |
| Page 1 |
![]() |
| Page 2 |
![]() |
| Page 3 |
![]() |
| Page 4 |
![]() |
| Page 5 |
![]() |
| Page 6 |
![]() |
| Page 7 |
![]() |
| Page 8 |
![]() |
| Page 9 |
![]() |
| Page 10 |
![]() |
| Page 11 |
![]() |
| Page 12 |
![]() |
| Page 13 |
![]() |
| Page 14 |
![]() |
| Page 15 |
![]() |
| Page 16 |
![]() |
| Page 17 |
![]() |
| Page 18 |
![]() |
| Page 19 |
![]() |
| Page 20 |
Friday, November 23, 2018
math symbol
∫$ \sqrt {a^2 - x^2} dx $
$\frac{x}{2}\sqrt {a^2 - x^2} + \frac {a^2}{2} sin^{-1} \frac {x}{2} +c.$
$\frac{x}{2}\sqrt {a^2 - x^2} + \frac {a^2}{2} sin^{-1} \frac {x}{2} +c.$
Thursday, November 8, 2018
HSC Board Mathematics Model Question Paper 2
Following are HSC Board Mathematics and Statistics Model Question Paper 2 for Arts and Science..
Model Question Paper 2
Time 3 hours Max Marks 80
Note: (1) All questions are compulsory.
(2) The question paper consists of 30 questions divided in to four
sections A, B, C, D.
(3) Section A content questions of 1 mark each
Section B content questions of 2 mark each
Section C content questions of 3 mark each
Section D content questions of 4 mark each
(4) Use of logarithmic table is allowed.
(5) Use of calculator is not allowed.
(6) In LPP only rough sketch of graph is expected. Graph paper is not
necessary
![]() |
| Page 1 |
![]() |
| Page 2 |
![]() |
| Page 3 |
![]() |
| Page 4 |
![]() |
| Page 5 |
HSC Board Mathematics Model Question Paper 1
Following are HSC Board Mathematics and Statistics Model Question Paper 1 for Arts and Science.
Model Question Paper 1
Time 3 hours Max Marks 80
Note: (1) All questions are compulsory.
(2) The question paper consists of 30 questions divided in to four
sections A, B, C, D.
(3) Section A content questions of 1 mark each
Section B content questions of 2 mark each
Section C content questions of 3 mark each
Section D content questions of 4 mark each
(4) Use of logarithmic table is allowed.
(5) Use of calculator is not allowed.
(6) In LPP only rough sketch of graph is expected. Graph paper is not necessary
SECTION A
Select and write the most appropriate
answer from alternatives in each of the following questions
1. If p→q is true and p⋀q is false , then the truth values of p and q are
a) T,F b) T,T c) F,T d ) F,F
2. If the vectors $2\hat i - q\hat j + 3\hat k$ and $4\hat i - 5\hat j + 6\hat k$ are collinear then the value of q is
a) 5 b) 10 c) 5/2 d) 5/4
3. The two value of k for which the lines with direction ratios k,-6,-2 and k-1 ,k,4 are perpendicular to each other are
1. If p→q is true and p⋀q is false , then the truth values of p and q are
a) T,F b) T,T c) F,T d ) F,F
2. If the vectors $2\hat i - q\hat j + 3\hat k$ and $4\hat i - 5\hat j + 6\hat k$ are collinear then the value of q is
a) 5 b) 10 c) 5/2 d) 5/4
3. The two value of k for which the lines with direction ratios k,-6,-2 and k-1 ,k,4 are perpendicular to each other are
a )8,-1 b)2,3 c) 8,1 d)-8,-1
4. If the function
f(x) = $ (cosx)^\frac{1}{x}$ x≠0
= k, x=0
is continuous at x = 0, then the value of k is
a) 1 b)
-2 c) 3 d) 4
5. $\int\frac{dx}{x+x^n}$ is
a) $\frac{1}{n}log|x^n| $ + c b)$\frac{1}{1-n}log|x^{1-n}| $ +c
c) $\log|x^n+1| $ + c d)$\frac{1}{n}log|x^n+1| $ + c
6. The differential equation $y\frac{dy}{dx}$ + x = 0 represent family of
a) circle b) parabola c) ellipse d) hyperbola
SECTION B
7. Prepare the truth table for ∼p⋀q
8. Find the general solution of sin(x +⫪/5 ) = 0
9. In ∆ABC, show that $tan\frac{A}{2}tan\frac{B}{2} = \frac{a + b - c}{a + b + c}$
10. Find the value of ⋋ for which the points (6,-1, 2) (8,-7, ⋋) and (5, 2, 4) are collinear
10. Differentiate $sin^{-1}(2x\sqrt{1-x^2})$ w.r.t x
11. The displacement S of a particle at time is given by S = $ t^3 - t^2 -5t$ find the velocity and acceleration at time t = 2
13. Evaluate $$\int_{0}^{\frac{∏}{2}}{\frac{sinx}{1 + (cosx)^2}}dx$$
14. Solve the differential question y-x$\frac{dy}{dx}$ = 0
OR
5. $\int\frac{dx}{x+x^n}$ is
a) $\frac{1}{n}log|x^n| $ + c b)$\frac{1}{1-n}log|x^{1-n}| $ +c
c) $\log|x^n+1| $ + c d)$\frac{1}{n}log|x^n+1| $ + c
6. The differential equation $y\frac{dy}{dx}$ + x = 0 represent family of
a) circle b) parabola c) ellipse d) hyperbola
SECTION B
8. Find the general solution of sin(x +⫪/5 ) = 0
9. In ∆ABC, show that $tan\frac{A}{2}tan\frac{B}{2} = \frac{a + b - c}{a + b + c}$
10. Find the value of ⋋ for which the points (6,-1, 2) (8,-7, ⋋) and (5, 2, 4) are collinear
10. Differentiate $sin^{-1}(2x\sqrt{1-x^2})$ w.r.t x
11. The displacement S of a particle at time is given by S = $ t^3 - t^2 -5t$ find the velocity and acceleration at time t = 2
14. Solve the differential question y-x$\frac{dy}{dx}$ = 0
14. Find the area of the region bounded by
the curve y = $x^2$ , the
x- axis and given lines x=1,
and x=5
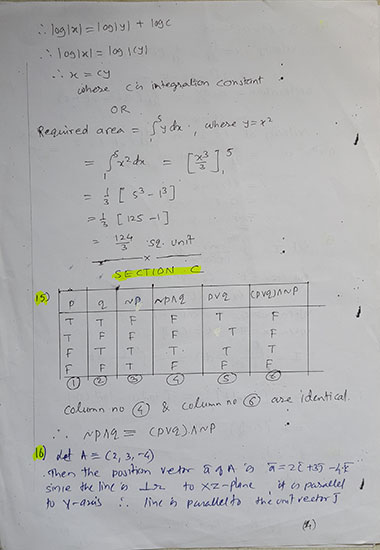
SECTION C
15. Using
truth table, prove the equivalence ∼p∧ q = (p∨ q)∧∼q
16.. Find the vector equation of the line passing
through the point (2,3,-4) and perpendicular to the XZ-plane .Hence find its
equation in Cartesian plane
17. Find the vector equation of the plane $ \bar r = ( 2\hat i + \hat k) +\lambda\hat i + \mu(\hat i +2\hat j - 3\hat k)$ in scalar product form
OR
17. Find the
equation of the plane passing through the intersection of the planes 3x=2y- z+1 = 0 and x+y+z-2 = 0 and the
point (2, 2, 1).
18. Find the value of k, if the function
f(x) = log (1+2x), for x ≠ 0
=
k, for x = 0
Is continuous at x = 0
19. Obtain the
probability distribution of the number of sixes in two tosses of
fair die
OR
19.Let X have p.m.f.
P(x) = $kx^2$ x = 1,2,3.4
= 0, otherwise
.Find
mean and variance of X
20. The probability that a certain kind of
component will survive a check
21. If three numbers are added the sum is 15. If the second is subtracted from the sum of first and third number the we get '5' and if twice the first number is added to the second and the third number is subtracted from the sum we get '4'. Use matrices to find the number.
test is 0.6. Find the probability
that exactly 2 of the next 4 tested components survive.
SECTION D
.22.In △ABC prove that (b + c -a) tan A/2 = (c + a -b) tan B/2 = tan ( a +b - c) tan C/2
22.Find the general solution of $\sqrt {3}$cosx - sinx = 0
23.Find p and q, if the equation p$x^2$ -8xy = 3$y^2$ = 14x + 2y + q =0 represent a pair of perpendicular lines.
OR
23.Find p and q, if the equation p$x^2$ -8xy = 3$y^2$ = 14x + 2y + q =0 represent a pair of perpendicular lines.
24.Find the volume of tetrahedron whose vertices are
A (-1, 2, 3), B (3, -2, 1), C
(2, 1, 3), and D (-1, -2, 4)
25.Solve by graphically
Maximize z = 15x + 30y subject to 3x + y ≤ 12, x + 2y ≤ 10, x ≥ 0, y ≥ 0.
26.If $x^{m}y^{n} = ( x + y)^{m + n}$ then show that $\frac{d^2 y}{dx^2}$ = 0.
27. A manufacture can sell
x items at the rate of ₹(330 -x ) each. The cost of
producing x items is ₹($x^2$+ 10x + 12 ) How many items must be sold so that his profit is maximum?
28.Find the area of the
region lying between the parabolas $y^2$ = x and $x^2$ = y.
29.Prove that
∫$\sqrt{a^2-x^2}dx=\frac{x}{2}\sqrt{a^2-x^2}+\frac{a^2}{2}sin^{-1}\frac{x}{2}$ +c
30.Solve the equation $x^{-1}cos^2ydy + y^{-1}co^2xdx$ = 0.
∫$\sqrt{a^2-x^2}dx=\frac{x}{2}\sqrt{a^2-x^2}+\frac{a^2}{2}sin^{-1}\frac{x}{2}$ +c
30.Solve the equation $x^{-1}cos^2ydy + y^{-1}co^2xdx$ = 0.
OR
30. In a culture of yeast,the active ferment double itself in 3 hours. Assuming that the quantity increases at a rate proportional to itself, determine the number of times it multiplies itself in 15 hours.
Wednesday, October 24, 2018
HSC Board !2th Science Mathematics and Statastics Mopdel Question paper
Model Question Paper 1
Time 3 hours Max
Marks 80
Note: (1)
All questions are compulsory.
(2) The question paper consists of
30 questions divided in to four
sections A, B, C, D.
(3) Section A content questions of 1 mark each
Section B content questions of
2 mark each
Section C content questions of
3 mark each
Section D content questions of
4 mark each
(4) Use of logarithmic table is allowed.
(5) Use of calculator is not
allowed.
(6) In LPP only rough sketch of graph
is expected. Graph paper is not
necessary
Thursday, October 18, 2018
How to get good score in class 12 board exam?
Class 12 board exam is considered to be a milestone in a student’s academic life. Marks obtained in 12th form an important part of the resume and act as an indicator of a student’s academic performance.
After class 12th every student has to take admission into some college/institute to pursue the higher studies. Here, the marks obtained class 12 board exams play the lead role as many prestigious colleges and universities in India or abroad, assign separate grade points to class 12thmarks and totally depend on them while granting admission to the students.
After class 12th every student has to take admission into some college/institute to pursue the higher studies. Here, the marks obtained class 12 board exams play the lead role as many prestigious colleges and universities in India or abroad, assign separate grade points to class 12thmarks and totally depend on them while granting admission to the students.
So, students should prepare well for their class 12 board exams to grab good marks and make it easy to go into their favorite college for further studies.
To gain high scores in board exams, previous papers play the key role.
· Previous year papers make you familiar with the paper pattern and marking trends followed in board exams.
· You also get to know the important topics which should be emphasized while preparing for board exams.
· You come across the questions which are frequently asked in board exams and prepare them well.
We can say that solving previous year papers helps you summarise the whole syllabus with preparing the important topics only. Thus you become able to complete the syllabus in less time and revise the same in remaining time.
In this article, you will get the Maharashtra Board Class 12 Board Examination model question papers of a new pattern. .You will get the HSC Board model question papers for Mathematics, Physics, Chemistry, and Biology. All the question papers are available internet student can download any time.
Solving the Maharashtra Board HSC previous year papers will help you to brush up your preparations for the final exams and ensure high scores. Good luck.
Subscribe to:
Comments (Atom)
!->
-
Following are HSC Board Mathematics and Statistics Model Question Paper 2 for Arts and Science.. Model Question Paper 2 Time 3 ...
-
Class 12 board exam is considered to be a milestone in a student’s academic life. Marks obtained in 12 th form an important part of the...
-
Following are HSC Board Mathematics and Statistics Model Question Paper 1 for Arts and Science. Model Question Paper 1 Time 3...



































